CW32电机控制基础——无刷直流电机的运行特性

2025-10-12 18994阅读

无刷直流电机的运行特性是指电机在起动、正常工作和调速等情况下,电机外部各可测物理变量之间的关系。本文在面对CW32电机控制应用的相关开发与调试的应用中,提供必要且专业的理论支撑。

由于电机是一种输入电功率、输出机械功率的原动机械。因此,我们最关心的是它的转矩、转速,以及转矩和转速随输入电压、电流、负载变化而变化的规律。据此,电机的运行特性可分为起动特性、工作特性、机械特性和调速特性。

讨论各种电机的运行特性,一般都从转速公式、电动势平衡方程、转矩公式和转矩平衡方程式出发。

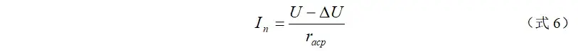
电动势平衡方程式为:

CW32电机控制基础——无刷直流电机的运行特性

式中,U为电源电压(V),E为电枢反电动势(V),Iacp为平均电枢电流(A),racp为电枢绕组的平均电阻(Ω),ΔU是功率管饱和压降(V),对于桥式换相线路为2ΔU。

对于不同的电枢绕组形式和换相线路形式,电枢绕组反电动势有不同的等效表达式,但不论哪一种绕组和线路结构,电枢反电动势可以表示为:

式中,n为电机转速(r/min),Ke为反电动势常数(V/r/min)。由式(1)和式(2)可知:

CW32电机控制基础——无刷直流电机的运行特性

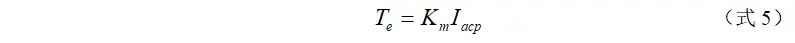
转矩平衡方程式为:

式中,Te为电磁转矩,T2为输出转矩(N·m),T0为摩擦转矩(N·m),J为转动部分(转子及负载)的转动惯量(kg·m2),ω为转子的机械角速度(rad/s)。其中电磁转矩Te表示如下:

CW32电机控制基础——无刷直流电机的运行特性

下面从基本公式出发来讨论BLDCM各种运行特性。

1 起动特性

根据式(1)至式(5)可知,电机在起动时,由于反电动势为零,因此电枢电流(即起动电流)为:

CW32电机控制基础——无刷直流电机的运行特性

其值可为正常工作电枢电流的几倍到十几倍,所以起动电磁转矩非常大,电机可以很快起动,并能带负载直接起动。随着转子的加速,反电动势E增加,电枢电流逐渐减小,电磁转矩降低,加速度减小,最后进入正常工作状态。在空载起动时,电枢电流和转速的变化如图1所示。

CW32电机控制基础——无刷直流电机的运行特性

需要指出的是,无刷直流电机的起动转矩,除了与起动电流有关外,还与转子相对于电枢绕组的位置有关。转子位置不同时,起动转矩是不同的,这是因为上面所讨论的关系式都是平均值间的关系。而实际上,由于电枢绕组产生的磁场是跳跃的,当转子所处位置不同时,转子磁场与电枢磁场之间的夹角在变化,因此所产生的电磁转矩也是变化的。这个变化量要比有刷直流电机因电刷接触压降和电刷所短路元件数的变化而造成的起动转矩的变化大得多。

2 工作特性

在无刷直流电机中,工作特性主要包括如下几方面的关系:电枢电流和电机效率与输出转矩之间的关系。

电枢电流和输出转矩的关系由式(5)可知,电枢电流随着输出转矩的增加而增加,如图2所示。

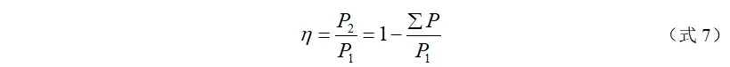
对于电机效率和输出转矩之间的关系,这里只考察电机部分的效率与输出转矩的关系。电机效率:

CW32电机控制基础——无刷直流电机的运行特性

式中,ΣP为电机的总损耗;P1为电机的输入功率,P1=IacpU;P2为输出功率,P2=M2n。

当M2=0时,即没有输出转矩时,电机的效率为零。随着输出转矩的增加,电机的效率增加。当电机的可变损耗等于不变损耗时,电机效率达到最大值。随后,效率又开始下降,如图1所示。

CW32电机控制基础——无刷直流电机的运行特性

3 机械特性

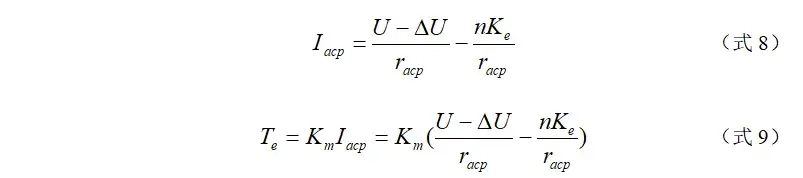
机械特性是指外加电源电压恒定时,电机转速和电磁转矩之间的关系。由式(1)至式(3)可知:

CW32电机控制基础——无刷直流电机的运行特性

当不计U的变化和电枢反应的影响时,式(8)等号右边的第一项是常数,所以电磁转矩随转速的减小而线性增加,如图3所示。

图3所示是电机在不同的供电电压驱动下的机械特性曲线。其中,n01、n02、n03、n04是空载时的转速。在实际情况下,在转矩较大、转速较低时,流过开关管和电枢绕组的电流很大,这时,管压降随着电流增大而增加加快,使加在电枢绕组上的电压有所减小,在图中靠近横轴的直线部分会向下弯曲。

CW32电机控制基础——无刷直流电机的运行特性

4 调速特性

当转速为零时,即为起动电磁转矩。当式(9)等号右边两项相等时,电磁转矩为零,此时的转速即为理想空载转速。实际上,由于电机损耗中可变部分及电枢反应的影响,输出转矩会偏离直线变化。

从机械特性和式(9)可以看出,在同一转速下改变电源电压,可以很容易地改变输出转矩,所以BLDCM具有良好的调速控制性能,可以通过调节电源电压实现平滑调速,而此时电子换相电路及控制不必做任何修改。无刷直流电动机与一般直流电动机的运行特性极为相似,有着良好的控制性能。

5 转矩转速特性

图4展示了转矩/转速特性的示例。

有两个转矩参数用于定义BLDC电机,峰值转矩(TP)和额定转矩(TR)。连续运转时,电机的负载会增加直到达到额定转矩。在BLDC电机中,转矩在转速达到额定值之前都保持不变。电机运转可达到的最大转速是额定转速的150%,但从超过额定转速起转矩开始下降。

CW32电机控制基础——无刷直流电机的运行特性

那种经常带负载的起动、停止和反转的电机应用需要比额定转矩更大的转矩。需要大转矩的时间通常很短,尤其是在电机从静止状态起动以及加速时。在此期间,需要额外的转矩来克服负载和电机本身的惯性。电机只要按转速转矩曲线运转,就能提供更高的转矩,最高可达峰值转矩。

后面社区将会专门讲述如何为某个应用选择这些参数。

文章版权声明:除非注明,否则均为天创资讯网原创文章,转载或复制请以超链接形式并注明出处。